Yearly Archives: 2024
-
R语言: LASSO回归
Lasso回归是线性回归的拓展,其实就是在线性回归中加入L1正则化项,实现对模型参数的惩罚,使得一部分参数趋近于零,简单来说就是其可以在模型中删除不必要的特征或参数,使模型更简单,…
-
CC:关于严重创伤性脑损伤(TBI)患者目标温度控制(TTC)的共识建议
目的和范围本专家组的目的是为严重创伤性脑损伤(TBI)患者以及中度TBI患者制定目标温度控制(TTC)的共识建议,这些中度TBI患者病情恶化并需要因颅内压(ICP)管理而入住重症监…
-
使用python来合并PDF文件
使用Python的PyPDF2库来合并多个PDF文件的基本示例代码。这段代码将演示如何将多个PDF文件合并成一个文件。 首先,确保你已经安装了PyPDF2库。如果还没有安装,可以通…
-
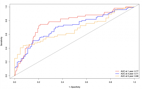
R语言:绘制timeROC、multiROC
文献中常见的ROC曲线有两种,一种是多时间点ROC(timeROC),是不同时间点下的ROC,最常见的为1、3、5年,如图1;一种是多指标ROC(multiROC),是不同变量的R…
-
R语言:竞争风险模型单因素分析
使用的是bmtcrr数据集,展示了177例白血病患者接受骨髓移植和血液移植治疗的疗效,一共有7个变量。 第一步:加载包并读取数据 第二步:将变量D(疾病类型)作为分组依据,比较AL…
-
R语言:竞争风险模型多因素分析
使用的是cmprsk包,本例子仍然使用casebase包自带的bmtcrr数据集,将复发(Status = 1)定义为结局事件,将因为移植不良反应死亡,定义为竞争风险事件(Stat…
-
药理学:去加肾上腺素、间羟胺、去氧肾上腺素
去加肾上腺素 间羟胺 去氧肾上腺素
-
R语言绘图_多元回归的森林图
1、导入数据 我们采用iris数据,这次多元回归的自变量设定为Petal.Length,Petal.Width和Sepal.Width共3个变量,因变量设定为Sepal.Lengt…
-
每日一题_2024.05.16
A 79-year-old woman presented to the emergency department with a 3-day history of hemateme…
-
ICM:连续乳酸测量指导复苏:更多证据表明不需要?
长期以来,血清乳酸一直被认为是组织灌注的生物标志物,也是危重患者,特别是脓毒症患者给予液体治疗的触发因素。脓毒症-3共识对脓毒症休克的定义是,在没有低血容量的情况下,维持平均动脉压…
-
2024.5.9-2024.5.12四川成都之行
2024年5月9日飞抵四川成都,参加中华医学会重症医学分会第十八次全国重症医学大会。开幕式人山人海,肯定过万人了,大熊猫logo做的还是蛮好看的,可惜抓娃娃没有抓到。 2天时间在紧…
-
CC:成人患者体外膜氧合支持期间医院获得性感染的发生率、危险因素和预后:系统评价和meta分析
Abstract Background:An increasing number of patients requires extracorporeal membrane oxyg…
-
每日一题_2024.05.10
A 96-year-old woman presented to the emergency department with a 1-day history of pleuriti…
-
Cox比例风险回归与Logistic回归的区别
Cox比例风险回归(Cox Proportional Hazards Regression)和Logistic回归是医学统计学中用于建模和分析数据的两种不同的回归方法,它们在目的、…
-
Lancet Microbe:新冠病毒感染相关肺曲霉菌病下呼吸道单细胞RNA测序与中性粒细胞细胞外陷阱
Abstract Background: COVID-19-associated pulmonary aspergillosis (CAPA) is a severe superi…